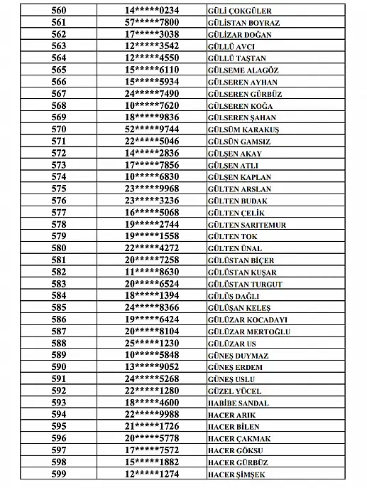
Adıyaman Merkez 1503 TYP işçi alımı kura sonuçları açıklandı
23 Aralık 2025 Tarihli Adıyaman Valilliği Toplum Yararına Program (TYP) Noter Kura Sonuçları açıklandı.
Son dakika Adıyaman Haberleri için turkaygazetesi.com'u ziyaret edin.
Özel Haber
Bakmadan Geçme
Kahtalı Mıçe, vefat yıl dönümünde dualarla anıldı
Kahtalı Mıçe vefatının birinci yıldönümünde mezarı başında anıldı
Adıyaman’da Mekanik Ventilasyon Kursu düzenlendi
Milletvekili Özhan’dan Kahtalı Mıçe İçin Anma Mesajı
Başkan İskender Yıldırım’dan Kahtalı Mıçe İçin Anma Mesajı
Başkan Demir: Özlük ve özgürlük mücadelemizin 34’üncü iftihar yılındayız
